1 引言
住宅产业化以工业化的方式生产住宅,其内涵是通过改变手工操作或半机械化施工为主的传统生产方式,大幅度提高住宅劳动生产效率,并降低住宅生产和使用的成本,全面提升住宅质量。推行住宅产业化的主要目的是提高建造能力,加快建造速度,对于提高劳动生产效率具有直接的现实意义。
劳动生产效率是建筑业发展水平的主要衡量标准,其发展状况关系到整个建筑业的升级转型与可持续发展。多年来,国内学者对于建筑业生产效率的研究取得了较大发展,但既有研究中仍然有许多不足,例如大多数研究采用Malmquist TFP指数评价,不能全面反映建筑业生产效率的实际变化情况,以及在投入和产出变量的选取和度量上或者不容易获得或者不够准确,导致最终结果不够客观。且现有的研究大多是研究建筑业的全要素生产效率,没有专门研究劳动力生产效率的文献。本文研究内容涉及传统住宅产业以及产业化住宅领域。考虑到部分投入产出变量数据不易获得,且为使测算结果与统计年鉴数据相对照,以检验测算结果是否准确,故采用统计方法以及基于人均产值理论创建的“直接计算”“价格上调扣减计算”两种测算方法进行评价,以期为住宅产业化发展提供决策依据。
2 劳动生产效率的含义
效率一直都是经济学研究的核心概念,同时也是一个很宽泛的概念,用以描述资源利用的合理性等特征。根据衡量内容的不同,可以将效率分为三个层次的效率集合。
(1)宏观效率:在整个经济体系中,以帕累托效率为标准,衡量所有资源在不同部门之间配置时所表现出来的经济运行状况;
(2)产业效率:在特定产业内,以生产的可能性边界为标准,衡量一个产业在使用最优要素资源时的潜在产出增长;
(3)微观效率:在特定企业内部,以按照要素的边际生产力组织生产所能达到的最大产出为标准,衡量一个企业对生产要素的利用状况。
根据上文阐述,劳动生产效率可以定义如下:在产业或项目生产过程中,劳动力资源这一生产要素的投入(包括投入量与投入周期)带来的产出增长。本文所研究的劳动生产效率为产业效率或微观效率,即在产业化住宅或传统化住宅产业或项目中,既考虑工人的施工效率,又考虑项目进度对工人周转周期的影响,衡量工人投入对住宅产出的生产能力高低。
3 住宅产业化劳动生产效率测算
3.1 研究思路
根据对劳动生产效率的定义,将其分为工人施工效率与项目进度效率两部分:前者衡量工人的工作效率,由调研数据进行统计计算后作为计算劳动生产效率的基础数据;后者表示项目的进展快慢,由调研数据进行统计,并采用系数分析对数据进行处理后,作为计算劳动生产效率的基础数据。将两个基础数据代入公式进行运算得到住宅产业化相对于传统方式的劳动生产效率提高值,测算的思路框图如图1。
3.2 研究假设
为使测算结果具有科学性及准确性,对测算列出以下前提或假设条件:
(1)假设传统化住宅以混凝土框架结构为参考;

图1 生产效率测算思路框图
(2)假设产业化住宅以预制装配式结构体系为主,其他体系所占比例忽略不计;
(3)假设在保证结构安全范围内,住宅预制化率反映住宅产业化水平,其决定现场工人工作效率;
(4)假设住宅施工进度效率与工人施工效率相关性不大,即工人施工效率仅反映工人在某一道或几道工序的工作快慢,而施工进度效率反映的是项目在技术间歇与组织间歇时间上的合理性与精益化程度。
3.3 基础数据的测算
3.3.1 住宅产业化提高进度效率测算
本文依托课题组调研了分布在合肥、长沙、上海的6个装配式住宅项目作为计算样本。经计算,6个项目的标准层层均工期为5.4天,而同等传统住宅的层均工期为7天,由此得出,装配式住宅标准层工期相对于传统住宅缩短22.8%。
3.3.2 住宅产业化节约现场用工量测算
目前关于住宅产业化现场劳动力数量的测算数据较少,本文所选的样本也有个别差异,因此只能进行粗略估计。样本中统计的现场劳动力节约的数量都是减少比例的最大值,即用工低峰期现场劳动力减少比例,现场劳动力数量是一个变量,用工高峰期与低峰期的劳动力可以进行等量替换,因此可以采用取均值的算法。
可以得到我国当前和未来在单个项目上住宅产业化方式平均节约建造现场劳动力数量比例(LCS & LFS)。LFS由国外产业化住宅节约现场劳动力数量[11]的比例与国内最高值89%(该值为国内文献中提及住宅产业化节约劳动力比例的最高值,目前我国平均水平低于该值,因此可以作为未来值)求均值得到,且根据3.2节的假设条件,LCS依据均值LFS与国内外当前预制化率进行调整。具体的计算方法如式(1)、式(2)。

其中,LFS——我国未来在单个项目上住宅产业化方式平均节约建造现场劳动力比例;
LoS——国外产业化住宅节约现场劳动力比例;
LCS——我国当前在单个项目上住宅产业化方式平均节约建造现场劳动力比例;
RCP——我国产业化住宅平均预制化率;
ROP——国外产业化住宅平均预制化率。
根据式(1)、式(2)以及表1提供的数据,可以得到我国未来住宅产业化方式节约建造现场用工数量比例为70.38%;我国当前住宅产业化方式节约建造现场用工数量比例为46.2%。据以往工程经验,现场不能完全实现自动化,仍然需要一部分现场指挥与操作人员。根据计算得到的我国当前住宅产业化方式节约建造现场用工数量比例46.2%,与企业调研结果“减少一半现场工人”相差不大,因此结果可信,可以作为计算的基础数据。
3.4 劳动生产效率的测算方法
在宏观经济学上,人均产值反映一国按人口平均的社会财富生产量,因此可以用来衡量该国平均的生产力发展水平和社会平均的富裕程度。同理,也能用住宅建筑人均产值来衡量住宅产业的生产力发展水平,也就是本文所指的生产效率。劳动力生产效率是综合效率,涉及产值、工期、劳动力数量等多方面因素,将采用住宅产业人均产值比来衡量住宅产业化的综合效率与传统方式效率。下面用直接计算法与价格上调扣减法两种方法来分别计算,取两者平均值作进一步研究。
3.4.1 直接计算方法
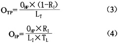
直接计算法是用房屋建筑总产值和我国的工业化率将传统住宅业与产业化住宅业的总产值计算出来,再以我国建筑业农民工数量作为基数,以建筑业农民工所占比重、工业化率、产业化住宅节约现场劳动力比例等相关参数,计算出产业化住宅项目现场工人与非产业化住宅项目现场工人数量。同时考虑由于产业化项目由于工期缩短所带来劳动力周转加快导致的劳动力减少效应。具体计算公式如下:

其中,OTP——传统方式住宅人均产值;
OIP——产业化方式住宅人均产值;
OHP——房屋建筑总产值;
RI——住宅工业化率;
LT——传统方式住宅项目劳动力;
LI——产业化住宅劳动力;
TL——劳动力周转周期。
3.4.2 价格上调扣减计算方法
价格上调扣减法是以房屋建筑总产值为基数,以产业化成本上调比例与平均预制化率下的预制构件成本比例作为系数计算人均产值,其中住宅产业化方式的产值扣减工厂预制部品构件的产值。其他计算原则与直接计算法相同。具体计算公式如下:

其中,OTP——传统方式住宅人均产值;
OIP——产业化方式住宅人均产值;
OHP——房屋建筑总产值;
LT——传统方式住宅项目劳动力;
LCS——我国当前在单个项目上住宅产业化方式平均节约建造现场劳动力比例;
RCR——产业化成本上调比例;
RAPC——平均预制化率下的预制构件成本比例;
TL——劳动力周转周期。
表1 国外产业化住宅节约现场劳动力数量的比例与平均预制化率

注:数据选取标准及来源:①节约劳动力比例数据:数据选取标准:选择国家或地区应具有较好的代表性和可比性,数据可靠且较为容易获得,法国的大板建筑与前苏联、日本采用的预制装配体系与我国的装配式体系因体系相近且发展历史相似,因此具有很好的可比性;数据来源:前苏联、日本以及法国数据来自我国住房和城乡建设部住宅产业化促进中心公布的数据[15],测量时间分别为1950年、1975年、1950~1970年,我国劳动力数据来自中国建设报,测量时间为2007年,各国数据基本上为同一发展阶段所测,从时间维度来说具有可比性。②平均预制化率来自《住区》杂志[13],测量时间与节约劳动力比例数据属于同一时期。
3.5 数据的获取
计算中所用数据,获取方式如下:
(1)房屋建筑总产值(OHP)由《2013年中国统计年鉴》获得,其值为102285.92亿元。(2)根据万科的企业内部统计数据,我国住宅工业化率不足1%,此处以RI=1%计算。(3)劳动力周转周期(TL)以项目相对传统住宅建造过程的快慢程度(也即进度效率)计算,根据本文对国内住宅产业化项目工期的统计,住宅产业化缩短工期比例约为22.8%,以传统住宅项目劳动力周转周期为单位1,则产业化住宅劳动力周转周期TL为77.2%。(4)产业化住宅成本平均上调比例(RCR)根据现场调研数据,约为20%,住宅产业化劳动力减少比例为46.2%,因此存在关系:LI=53.8%×LT。(5)平均预制化率下的预制构件成本比例(RAPC)为平均预制化率35%下的预制构件成本占总住宅成本的比例计算,根据企业调研结果,该值约为30%。(6)根据《2013年全国农民工监测调查报告》,我国农民工总数量为26894万人,建筑业农民工所占比重为22.2%,基于此得到我国建筑业农民工数量为5970.47万人,再根据房屋建筑总产值102285.92亿元与建筑业总产值159312.95亿元之比,得到住宅产业的比重约为0.64,由此得到住宅产业农民工数量为5970.47×0.64=3821.1万人,再根据我国产业化住宅所占的比例即工业化率(RI)1%以及住宅产业化劳动力(LI)与传统项目劳动力(LT)的关系LI=53.8%×LT,可以假设每生产1%的传统住宅项目劳动力数量为X,则以下等式成立:99X 53.8%X=2730.5万人,计算得到X=383884人,据此可以得到产业化住宅项目劳动力数量LI=53.8%X=206530人,传统住宅项目劳动力数量LT=99X=38004516人。
4 测算结果分析
4.1 住宅产业化劳动生产效率测算结果与评价
用直接计算方法(方法一)和用价格上调扣减法(方法二)计算所得传统住宅劳动生产效率为269141元/人,产业化住宅劳动生产效率为583208元/人,效率比为2.17及效率提升比例为117%。
以两种方法计算结果作为基数得到各参数的平均值(见表2)。直接计算法原理直观简单,所涉及的参数也较少,但计算结果受住宅工业化比例(RI)影响大;价格上调扣减法以房屋建筑总产值(OHP)近似代替传统住宅建筑业总产值,并以此为基数,考虑价格上调与扣减预制构件部分产值,作为住宅产业化方式住宅建筑总产值,此方法参数估计较为准确,但参数多,且存在较大误差。但综合两种方法,计算结果有较好的一致性。
采用综合取平均值方法,两种方法计算得到的传统住宅劳动生产效率与《2013年中国统计年鉴》所公布的按建筑业总产值计算的建筑企业劳动生产率324842元/人存在一些偏差(由于在计算范围上存在不一致),但在同一个数量级内且偏差可以接受。此外,根据《2013年中国统计年鉴》和《2013年全国农民工监测调查报告》提供的按建筑业总产值与建筑业农民工数量可以得到建筑业劳动生产效率为266835元/人,本文计算结果267795.5元/人与之极为接近,因此结果较为可信。
同时,根据国外数据,住宅产业化方式的效率一般为传统方式效率的3~5倍,然而我国的住宅产业化刚刚起步,住宅产业化水平还属于较低水平,所以效率与国外尚有较大差距。但与传统方式相比,产业化方式的效率平均水平已经有很大提升,一些住宅产业化的先锋企业由于在经验、技术与管理上的先进性,效率提升比例大于平均水平;与此同时,一些刚涉足住宅产业化的企业由于技术、组织等原因,达不到大幅提高效率的水平甚至降低了效率,这在起步阶段也较为常见。
4.2 劳动生产效率提升对节约建筑业劳动力的测算
基于所得到的效率提升比例129%,可以计算住宅产业化在加快项目进度、减少项目现场劳动力方面提高劳动生产效率对建筑业劳动力的减少比例(LR)。已知效率(Efficiency)、工人数量(Labor)、产值(Output)存在如下关系:
表2 两种方法得到的劳动生产效率及其均值

产值(O)=工人数量(L)×效率(E) (7)
现假设传统生产方式产值、劳动力数量、效率三者的值分别为Ot、Lt、Et,同理,住宅产业化方式下三者的值相应为Oi、Li、Ei。则存在以下关系:
Qt=Lt×Et (8)
Qi=Li×Ei (9)
Ei=(1 129%)×Et (10)
当要求生产一定的住宅时,即Qt=Qi。由此可以得到LR=(Lt-Li)/Lt×100%=52%,即考虑项目进度效率的当前劳动生产效率的提高对建筑业劳动力的减少比例为52%,而未来值将可以更高。这表明如果劳动力短缺比例小于52%,住宅产业化能完全解决建筑业劳动力短缺问题。
5 政策建议
5.1 在劳动力成本较高区域试点推广住宅产业化
住宅产业化对于提升劳动生产效率作用明显,经测算,在考虑项目进度效率对劳动力周转影响的前提下,当前住宅产业化可以提高52%的劳动生产率。随着产业化水平的提高,住宅产业化对于提升劳动生产效率的作用会更加明显,这可以从根本上且大幅度解决建筑业劳动力短缺的问题。而我国当前建筑业的劳动力短缺问题并不特别突出,甚至有学者及相关课题研究[15]-[17]认为仅是结构性短缺,因此在当前全面推广住宅产业化,会产生大量劳动力被迫转移到建筑业以外的行业或失业下岗。
从各国的实践经验看,推广住宅产业化需要一定的市场环境。因此,依靠行政力量在我国推广住宅产业化,不利于住宅产业健康平稳发展。当前,我国正处于“人口红利”逐步降低乃至消失的转型时期,市场已经孕育了住宅产业化发展的良好环境,但市场对住宅产业化整体拉动力较小,在全国各地推广住宅产业化需要很大的推动力且效果不明显。可鼓励劳动力成本较高的区域进行试点开发继续探索,当建筑业劳动力短缺达到一定程度时,势必导致高昂的人工成本,届时全面推广住宅产业化将有不可替代的重要意义。
5.2 逐步完善提高我国住宅产业化水平
根据本文的测算结果,与国外先进水平相比,我国的住宅产业化水平仍然属于低水平的住宅产业化。国内住宅产业化的劳动生产效率固然有地域、政策等因素的制约,但努力提高产业化水平应该作为全面推广住宅产业化的基础。住宅产业化水平主要受产业化标准、信息化、组织管理水平、完善的产业链等因素影响,因此,住宅产业化要更多地将精细化、信息化、标准化的生产管理模式结合起来,不能以既有粗放的生产方式作为运行住宅产业化的动力。
作者: 大连理工大学建设管理系 李忠富 刘世青 曹新颖

BIM建筑网