地下室向来是建筑中机电系统最复杂的区域,专业众多,管线密集,施工过程中往往顾此失彼,难以直接按图施工;施工过程的不确定性让返工修改变成家常便饭,更不用说做到美观实用,节约成本了。传统技术的局限让这种情况每时每刻发生在各个建筑工地,但BIM技术的出现正在慢慢改变着这种局面,既实用美观,又节约成本不再遥不可及。
下面将以实际案例为大家展示BIM在地下室设计和施工方面的应用。
1、项目概况
本项目位于金华市,建筑功能是住宅及其配套商业,包含11栋楼和地下车库,总建筑面积62955㎡,其中地下建筑面积20100㎡;项目的应用重点是通过BIM直接指导施工,节约成本的同时保证车库良好的使用体验。
2、项目BIM应用价值
2.1可视化
传统的二维CAD施工图复杂而且抽象,专业工程师理解起来都要费时费力,而且对图纸的理解可能产生错误,对看图人员专业性要求极高,同时会增加各专业之间、各单位之间的沟通成本。
BIM通过图纸分别建立各专业模型,在建模过程中就会初步发现图纸的错、漏、碰、缺,提交给设计师修改;各专业模型建完之后,就会形成一个整合的全专业模型,形象而且生动,每个区域的情况一目了然,非本专业人士都可以迅速理解,沟通起来自然快速准确。

机电模型

整体模型
2.2 碰撞检测
传统施工图绘制过程中,各专业相互间无法进行精确的协调沟通,图纸只能保证各自专业内(甚至一张图纸内)没有碰撞冲突,当所有专业整合在一起后就会发现大量的冲突碰撞。
本项目根据施工图建模,一共发现了错、漏、碰等3400处,并以碰撞报告的形式提交给业主与设计单位,协调沟通后将修改落实到了施工图上,极大的减少停工、返工的情况,为后期施工及管理节省大量人力、物力和财力。
检测项

碰撞报告

2.3 设计优化
在本项目BIM应用过程中,博牛以强大的设计咨询背景,基于BIM提出了许多合理的设计优化意见,为业主节省了大量成本,详见以下示例:
a.此处大量桥架为了避让防火卷帘,从两边结构墙体绕行;经模型校核,在降低防火卷帘高度后,梁下方距防火卷帘的高度可以制作假梁用以通行桥架;优化后减少了桥架的长度和不必要的结构开洞,节约了较多成本。(详见下图)

优化前

优化后
b.此处暖通机房较大,经核查发现机房压缩后足以布置风机和风管;经设计优化后可以增加车位,给业主带来直接的经济效益。(详见下图)

优化前

优化后
2.4 管线综合
地下室是否能做到美观实用,基本上取决于管线综合的效果;传统施工图设计的管线综合图在施工过程中难以达到理想效果,有的甚至根本就没有管线综合图。
本项目BIM管线综合基于满足设计功能的前提下,以整齐、简短的原则优化排布了各专业管线,以最小的成本达到了美观实用的效果;原本2.2m净高的地下车库通过优化后达到了2.3-2.4m的净高,同时保证了大部分车道上方基本没有管道排布,以保证车道有良好的通行体验,优化示例可见下图:

优化前

优化后
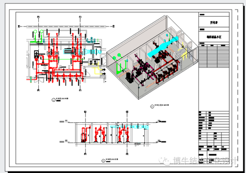
2.5 出图
传统的施工图通常无法满足现场精确施工的要求,施工单位拿到图纸后各专业独立施工,会造成大量的返工,既耽误工期,又增加成本。
本项目基于施工的要求,从模型直接导出管线综合图,详细标注了所有主要管道的标高,翻弯位置;为了方便各专业施工,同时拆分出了各专业的图纸,现场可以直接参考这些图纸施工,节省了施工单位大量的时间和人力;另外,为了让施工人员更容易理解,还从模型中导出了大量的剖面图、详图,详见示例。

平面图

剖面图

详图
3、结语
BIM技术的发展让地下室的施工同时做到了实用、美观、省钱,地下室BIM技术的应用已经成为了一个必然的趋势,相信以后的地下室都可以是这样的:


BIM建筑网