文/天津市建筑设计院BIM设计中心
向 敏执行技术总监 / 冯 佳咨询应用部部长 / 张昭午咨询应用部技术主管
BIM在设计阶段的应用已逐渐成为趋势,作为BIM设计模型的后价值之一,BIM在造价领域的应用逐渐受到建设方的关注。
过去,我们常常采用REVIT辅助算量,通过REVIT本身具备明细表功能,把模型构件按各种属性信息进行筛选、汇总,排列表达出来。但是REVIT模型中的构建是完全纯净的,完全取决于建模的方法和精细度,所以明细表中列出的工程量为“净量”,即模型构件的净几何尺寸,与国标工程量清单还有一定差距。
为了更好的提供设计模型后价值,我们除了建立模型规则、统一标准、规范工作流程,还一直在尝试和包括算量软件在内的国内外各种主流上下游软件进行对接,试图实现设计模型向算量模型等深层次应用的顺利传递,增加模型的附加值。近期,结合广联达BIM土建算量软件,我们在广联达总部和天津区技术人员的大力支持下,用实际的生产项目进行了软件试用,已找到了在REVIT和广联达土建算量软件中通用的模型搭建规则,顺利实现了建筑结构专业设计模型向算量模型的百分百转移,能够使得同一模型在两种软件中(revit,广联达土建算量)保持一致,准确传递模型信息,实现国标算量。
下面,将我们的具体实践应用过程进行介绍,抛砖引玉,希望机电算量也能早日实现。
一、软件准备
![]()
二、人员准备
天津市建筑设计院BIM设计中心BIM技术人员
天津市建筑设计院经特造价咨询公司造价工程师
广联达总部和天津区技术人员
三、实践项目
建筑面积10000 平米
地下一层、地上四层,局部五层
框架结构
简单装修
使用功能为大学实训中心
四、BIM模型
该项目是BIM设计中心对外BIM咨询服务的一个真实的生产项目,属于施工阶段的BIM应用,在本次算量实践前已按施工总承包方要求搭建完模型。
模型搭建前,已按照我院BIM建模手册及土建施工管理中的应用点,规划BIM模型构件的命名标准。
此项目构件命名分为5段制,如混凝土柱模型为TADI-F3-KZ7-700X700-C30(见图一)

其他所有建筑、结构构件命名类似(见图二)。

由于建筑、结构两个专业大量构件具有各自特性,所以命名原则上依照上述进行,但不拘泥于5段制。总的原则是,建模单位——楼层信息——构件类型信息——规格信息——强度信息等。
五、GFC插件导出算量模型文件
用REVIT软件打开该模型文件,利用附加模块中的导出GFC按钮,将REVIT模型导出为*.GFC格式的算量模型文件。

这时候在文件夹中可以看到一个格式为*.GFC的广联达标准交换文件,文件大小已经从REVIT格式下的38.09MB变为3.58MB,轻量化90%。
![]()
当*.GFC模型导入到GFC土建算量软件后,会看到如下信息:
![]()
将文件打开后可看到如下内容:

从图五显示中,可以看出在BIM模型在导入GFC后,已结合算量规则,对模型进行了智能匹配和自动处理,使模型更适合算量规则的需要。
如有报错,可通过ID号,在REVIT中进行查询定位,在REVIT软件中进行修改,二次导入;也可在广联达软件中直接对模型进行修改。
该模型在导入导出过程中,主要是电脑自适应和匹配,也有极其有限的部分手动修改和调整,并不大于常规项目广联达建模后的模型检测调整工作。实践证明,BIM模型从REVIT向广联达土建算量软件传递的生产模式是可行的。
六、模型浏览比对
在广联达GFC土建算量软件中打开导入的模型,与REVIT模型进行比对(如图七),发现有些部位两种软件的模型深度不同,例如:REVIT中对幕墙的分格,竖挺的材质、规格,嵌板的材质、规格都做了详细的设计表达;但导入广联达后,此幕墙仅仅表现为一个片状构件,仅有面积信息,不过此深度已经满足造价需要。
分析原因,可能是由于两种软件表达的受众对象不同,即两种软件的使用目的是不同的,所以导致虽然基于同一模型(即同一信息源),但因为REVIT更多的是集合模型的全部信息内容,广联达则更多的关注算量规则下的模型表达,所以,表达结果不尽相同。


七、广联达土建国标算量
通过广联达土建算量软件的汇总计算功能,汇总模型计算工程量。



如果导入时不做调整,在汇总计算出量之前,还会有报错情况,大多数为模型重叠和交错,需要手动调整。
我们的工作习惯是在模型导入时进行调整,而且根据该项目实践的经验,结合《天津市建筑设计院BIM设计模型实施标准》及《广联达算量模型与REVIT土建三维设计模型建模交互规范》,我们对《天津市建筑设计院BIM设计模型实施标准》进行了修改,已经可以做到导入模型汇总不报错。大大提高了BIM模型导入后计算工程量清单的效率。
八、分析比较
我们还将该项目基于同一数据源的模型在REVIT软件和广联达土建算量软件中,分别进行了工程量汇总,然后对其中主要土建构件进行了比对。
(一)BIM模型在REVIT软件中,利用REVIT软件自带功能生成构件明细表(如图十)

(二)BIM模型导入广联达土建算量软件后,利用土建算量软件进行国标工程量清单计算(如图十一)

(三)对同一数据源的两份工程量主要土建构件进行了比对,其中对结构柱的分析结果如下:
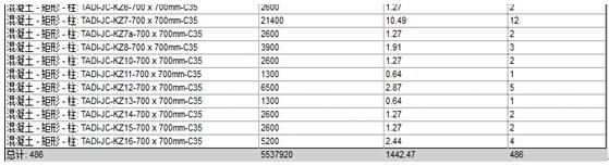
1、Revit构件明细表汇总量:

2、GFC清单工程量汇总量:

在两份工程量汇总统计中,柱子根数统一,同为486根;混凝土体积分别为1442.47m?和1441.43m?,REVIT比GFC稍大。应该是广联达软件在结构柱与楼板的重合部分进行了扣减。
小结:
实践证明,BIM模型一模多用,实现初始模型和算量模型的互用,在技术路线上是完全可行的。
在具体实践中,模型互用对模型的规范度有较高的要求,需要通过尝试和探索总结出一套方法规则,现在的问题是,这种规则方法还需要更多的项目实践来验证和修改,同时,BIM模型的后价值点很多,初始模型和算量模型互用这一个应用点总结出的规则和方法是否能够为多个应用点互用,即用这种规则和方法搭建的BIM模型能否在其他应用点通用,是值得认真思考和实践的问题。下一步,我们将更广泛的试用国内的其他算量软件和应用点,继续研究在体量较大、形式复杂,造型多变的工程中BIM模型导入算量软件后的实施方法,总结出更普遍模型应用规则和标准。

BIM建筑网


